지난 40강에서 levene's test 를 이용 하여 두 그룹 등분산검정을 했던 글은 지웠습니다. 오류가 있었습니다. 이번 글이 더 일반적인 내용이라 40강 내용을 포함합니다.
엑셀에서는 F검정이라는 등분산검정을 제공합니다. F검정의 한계는 두 그룹의 비교밖에 할 수 없다는 것입니다. 세 그룹 이상을 비교해야하는 경우 Levene(레빈) 검정을 합니다. Levene 검정은 두그룹의 비교도 가능하고, 세 그룹 이상의 비교도 가능합니다. 엑셀에서 제공하지 않는 검정방법이기 때문에 직접 수식을 정의해서 사용해야 합니다.
귀무가설과 대립가설
귀무가설 : 모든 그룹의 분산은 같다.
대립가설 : 분산이 서로 같지 않은 그룹이 존재한다.
p값이 0.05보다 클 경우 분산이 같다고 할 수 있음.
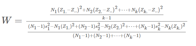
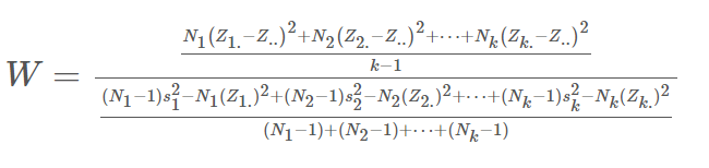
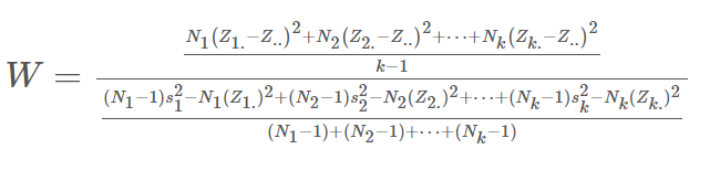
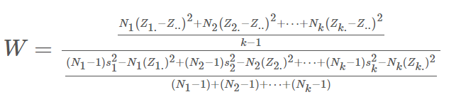
통계량
검정통계량인 W는 아래와 같습니다.

검정통계량 W는 F분포를 따릅니다. 검정통계량은 F분포 상의 x값입니다. 이 값 오른쪽 부분의 넓이가 p-value 입니다.

아래와 같이 변형하면 엑셀에서 입력하기가 더 편합니다.

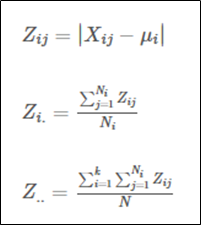
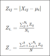
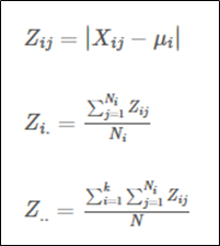
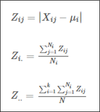
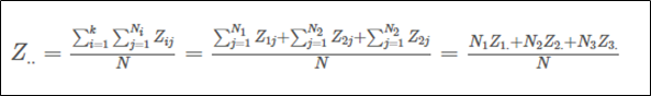
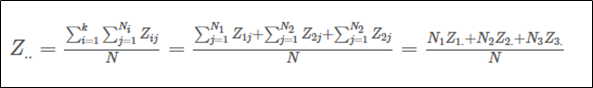
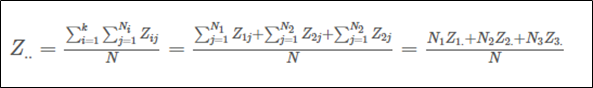
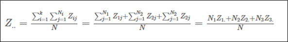
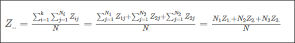
Z값들은 아래와 같이 구합니다 .


각 값의 설명은 아래와 같습니다.
$N_{i}$ : i번째 그룹의 원소 수
$k$ : 그룹의 개수
$Z_{i.}$ : i번째 그룹의 평균절대편차
$Z_{..}$ : 각 그룹의 편균절대편차의 가중치 평균
$s^{2}_{i}$ : i번째 그룹의 표준편차
위와 같은 값들을 먼저 구하고 W를 계산하면 됩니다.
세 그룹의 등분산검정 엑셀 실습
데이터는 아래 링크에서 받으시면 됩니다.
세 반 학생들의 수학점수입니다.

먼저 각 반의 평균을 구해줍니다.

각 반의 표준편차를 구합니다.

각 반의 평균 절대편차를 구합니다. 평균 절대편차는 위 Z값들 중 $Z_{i.}$ 값에 해당됩니다.

각 반의 학생 수를 계산합니다.

평균절대편차의 가중치평균을 계산합니다.

W통계량을 계산합니다.

분모의 자유도를 계산합니다. W 식에서 분모의 분모입니다.

분자의 자유도를 계산합니다. W 식에서 분자의 분모입니다. (그룹수-1) 입니다.

F기각치를 구합니다.

p값을 계산합니다. 이제 F분포에서 W값보다 우측에 있는 오른쪽 꼬리 넓이를 구해야 합니다. 그런데 엑셀의 F분포의 경우, 누적분포가 왼쪽 꼬리밖에 없습니다. 따라서 왼쪽 꼬리를 계산한 뒤 1에서 빼줍니다. p값이 0.05 보다 크므로 세 집단은 등분산이라고 할 수 있습니다.

F분포 사용 문법은 아래와 같습니다. (출처 : 마이크로소프트 홈페이지)

R 결과와도 비교해봅시다. 동일합니다.

k개 그룹으로 확장
위 수식을 k개로 늘려나가면 됩니다.
'엑셀 > 도구 엑셀로 푸는 통계' 카테고리의 다른 글
| [엑셀통계] 61. 엑셀에서 $로 수식고정 쉽게하는 법(F4) (0) | 2021.09.25 |
|---|---|
| [엑셀 통계] 60. 분산분석 하는 법 (일원분산분석) (1) | 2021.09.02 |
| [엑셀 통계] 58. 공백 제거하는 방법 (0) | 2021.08.12 |
| [엑셀 통계] 57. 합이 일정한 임의의 숫자들을 추출하는 방법 (실수편) (3) | 2021.07.14 |
| [엑셀 통계] 56. 엑셀 유효숫자가 몇개까지 입력될까 (0) | 2021.07.11 |
댓글